明日方舟终末地水管铺设心得-水管怎么铺才不堵
《明日方舟终终地》是一款需要随身携带草稿纸才能玩的硬核建造游戏。小编为了搞懂a:b:c=3:2:1的输出比例,差点把高中物理课本翻烂了。感兴趣的小伙伴们和小编一同了解吧。
以下速度为每秒。
众所周知,武陵的水管流速为2,而水泵抽水速度为1,那么两个水泵永远不会堵塞……吗?
入口

出口

堵塞

回流装置
原因是我在其中设置了回流节点,且终末地中的水流是无碰撞体积的粒子,因此速度可以简单地加和。

这个原理还是比较简单的,结论以丑图展示,红色表示经历了一次回流

从图片上我们可以得出,限制输水量的主要原因是上方的那个水管,他的流速已经达到2了,不能再增加了,因此回流一次之后下方输入口的输入速度降低为1/2,造成了堵塞。
应用
那么有什么作用?只是为了堵水管吗?实际上我最初研究这个的时候是为了省水。因为有的时候在蓝图启动时会用比较多的水,但是蓝图过一段时间有的地方就不需要用水了(比如液态息壤存满了,或是有的产线只需要一个武陵植物的粉末,粉碎机堵了),所以我就想设计一种通道,使得当一个出水口所需的水流流量下降时别的出水口流量能增加。下图即为一个基本单元:

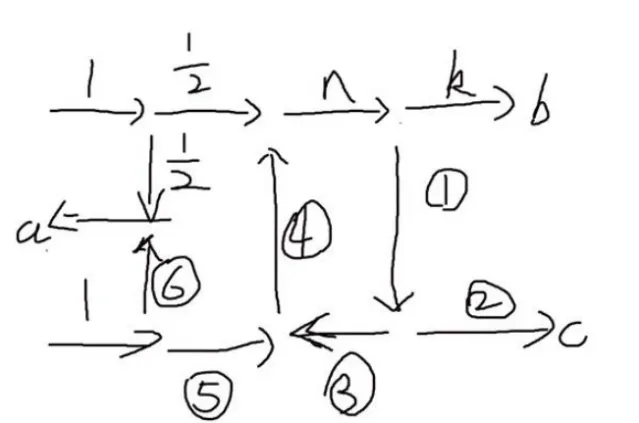
左侧为a,右侧上为b,右侧下为c,则在一般条件下,a:b:c的出水速率为3:2:1
原理如下:

在第一次运行中:⑥=⑤=1/2,④=1/2,n=1/2+④=1,k=①=1/2,②=③=1/4
第一次回流,④=③+⑤=3/4,n=1/2+④=5/4,……
那么,一直回流下去会如何输出呢?
观察到a输出不变,恒为1,且②=①/2=k/2,因此输出端b:c恒为2:1,于是b=1/3*2=2/3,c=1/3。
通过计算,我们可以发现,实际上堵塞的情况是一般情形下的特殊情况。这个回流设备中n限制了b、c输出口的输出量,n最大为2,n=2的情况下k=b=1,c=1/2。此时如果要整体不堵塞,只需要a口出水速大于1/2就行了。
还记得最初的目的吗?现在可以通过调节a出口的流速来实现b、c端口的增压。a初始流速为1,则b、c初始输出为2/3、1/3,一段时间后a口降为1/2,b、c两口也可增压为1、1/2。至此,我们就完成了回流装置增压器。
拓展
作为一个三端装置,自然地,会进行另外一项拓展:当b口限制出水量时会怎么样?
设想回流的最终饱和形态,此时由于b口限制了出水量,k≠①,①=n-k,则②=③=(n-k)/2,
④=n-1/2,⑤=④-③=(n+k-1)/2,在n≤2即⑥=1-⑤=(3-(n+k))/2,a口出水量为2-(n+k)/2
此时分两种情况
情况一:a口加压比较小,n没有爆掉,于是⑤=⑥恒为1/2,则此时a=1,b=k,c=1-k。
情况二:a口加压大,n爆掉,于是n=2,此时a 1/2, b=k,c=1-k/2,然后管道会堵塞。且k 1时退化为b=1,c=1/2。因为本质省水问题,所以基本用不上情况二,感兴趣各位可以自己尝试。
将k=1/2代入验证,此时a=1,c=1/2,则a:c=2:1。验证方法为种植器,k被限制

由于不可管道内有水,还有初始进入储液罐的时间不同,并非严格2:1,但是基本得到验证。


通过这个方法,得到了武陵的回流变压,然后这个版本暂时没啥用因为取水口是溢出的……
感兴趣的可以自己研究,毕竟赤石科技。
蓝图分享码:EF013Eo5i82i7auA0579
592下载网



